广告 | 点击查看
摘要:伴随民航经济全面复苏态势,为保障机场行李处理系统高效、稳定运行,解决行李处理系统传统运维中缺乏设备运行状态监测/预测、故障原因定位迟滞及缺少运维看板等问题,本文从行李系统运维现状出发,提出一套面向民航机场的行李系统智能运维方案,并给出技术方案的发展前景,可为机场未来实现行李处理系统运维智能化提供一定的技术参考。
关键词:机场、行李处理系统、智能运维、方案探索
作者:武杰1,2 宋洪庆1,2 李思霖1,2 宋昊1,2 刘勇1,2
1为中国民用航空总局第二研究所
2为民航成都物流技术有限公司
随着国家对疫情管控的全面开放,频繁的经贸活动导致跨区域人员的密集流动,使民航业的全面复苏迎来希望。根据中国民用航空局发布的月度运输生产统计,本年度截至8月底,我国民航旅客运输年累计量已达41016.2万人,已恢复至2019年的92.7%,民航旅客周转年累计量达6720.0亿人公里,已恢复至2019年的85.5%。旅客运输量和周转量的强劲复苏对于民航业是个积极信号,反映出民航机场正在逐渐摆脱疫情的影响,开始重新走上正轨[1]。
旅客量和周转量的回暖也意味着机场行李量不断攀升,预示着行李处理系统(以下简称“行李系统”)将承担更大压力。作为机场运行最关键的系统之一,行李系统在值机、安检、分拣、运输、存储等节点都发挥着极其重要的作用,若发生非预期停机,轻则会导致旅客拥堵,重则可能造成机场瘫痪。
为进一步提升行李运输服务的质量及旅客满意度,需重点关注机场行李系统的运输和维护效率。本文从行李系统运维现状出发,提出一套面向民航机场的行李系统智能运维方案,通过构建设备实时运行状态监测、运行状态预测、故障原因定位及三维可视化运维等功能模块,有效解决行李系统运维效率低、故障原因定位迟滞等问题,并有助于提升机场行李系统运维智能化水平。
一
行李系统运维现状
行李系统当前运维流程主要包括巡检、监控、排故、保养等环节,现阶段工作的开展依赖于个人知识、技术及经验的积累,即运维人员会定时对系统设备进行巡检和保养,当且仅有行李系统发生如卡包、设备停转等故障时,运维人员才去现场处理,但由于缺乏标准流程监管,操作失误的风险较高,运维效率和准确性难以保证,所以从设备管控角度出发,目前行李系统运维工作的痛点主要包括以下几个方面:
1.缺乏设备运行状态监控
行李系统设备运行状态实时监测是提高设备安全性、降低事故损失、减少维护成本的有效方法,但目前多数机场行李系统设备的监控以人力巡检为主,即对行李系统划分片区,人工分组排班,定时对所属片区进行故障排查。这种模式不能实时获取设备的工作状态、运行情况、故障信息等重要数据,从而无法及时发现并解决设备出现的问题,直接导致设备故障率高等后果。
2.缺乏设备运行状态预测
设备运行状态预测是预防行李系统出现突发故障的有效手段,但由于行李系统设备种类繁多、运行环境复杂、数据采集困难等多种因素耦合,目前多数机场行李系统设备运行状态预测方面还处于探索阶段。运维人员通常只有设备故障后才会进行干预,这会导致设备故障发现时已步入“晚期”,从而造成维修时需投入更多的人力、物力及时间。
3.设备故障原因定位迟滞
故障原因定位有助于行李系统设备正常运行状态的快速恢复。目前多数机场主要依靠一线人员的经验判别,且从时间维度看,设备故障原因需等事故发生后运维人员到达现场才能确认,这会导致运维人员无法第一时间确定维修所需工具与备品备件,造成设备故障排除的速度慢,若故障设备位于无备份输送线上,则会严重影响整个行李系统的运行。
4.缺少设备运维展示看板
运维看板是运维的闭环节点之一,可辅助管理人员进行决策。但目前多数机场行李系统暂无设备运维看板,当发生故障时,无法第一时间获取故障设备的基础信息,这也就直接导致运维人员无法实时全面、深入地了解和掌握目标设备故障状况,从而影响决策和操作。
二
行李系统智能运维方案
针对机场行李系统运维痛点,将精准定位、数字化管理等与新一代人工智能技术深度融合,设计一套面向民航机场的智能运维方案,对提升管理效能极其重要。
![图片[1]-机场行李处理系统智能运维方案的探索-JieYingAI捷鹰AI](https://www.jieyingai.com/wp-content/uploads/2024/07/1722182606515_0.jpg)
图1 技术架构
1.技术架构
通过业务逻辑分析,将行李系统智能运维技术架构划分为5层,分别是敏捷感知层、数据传输层、平台管理层、业务功能层和运行展示层,如图1所示。
(1)敏捷感知层
敏捷感知层负责行李系统设备数据的基层采集,包括设备的机械特性参数、电气特性参数及音视频信息等。敏捷感知层作为数据采集端,应用传感器、采集器、智能仪表等多种物联网感知工具,实时获取行李系统各项运行参数和状态,为平台业务功能提供精准的数据支持。
(2)数据传输层
数据传输层支持多种网络类型和协议,包括宽带、专网、WiFi和移动网络等,为感知层采集数据的传输提供了多样的传输介质选择。多类型网络协议的采用使得各类传感器及智能仪表可以方便地通过Modbus、MQTT、ZigBee、RTMP等协议接入系统服务器,实现感知层采集数据的快速、稳定、可靠传输,为物联网系统的正常运转和数据的实时交互提供了坚实的保障。
(3)平台管理层
平台管理层是整个系统业务应用的支撑平台,为系统的业务功能提供了强有力的技术支撑。该层运用开发框架、微服务管理、容器平台、数据库、中间件和服务网关等关键组件,为系统的运行提供稳定可靠的技术支持,同时对底层数据进行存储、处理、分析和可视化等方面的工作,为系统的数据驱动型业务提供全面的保障。平台管理层不仅保证了系统的高可用性和可扩展性,还为系统的未来发展提供了坚实的基础。
(4)业务功能层
业务功能层对接入系统的多维度数据进行处理,提供业务功能主要分为三大板块:运维管控套件、运维资源管理套件和可视化运维管理。其中,运维管控套件主要是对设备运行进行监管和分析,显示设备的总体状态并辅助用户对设备运行状态趋势进行预测;运维资源管理套件支持处理所有运维信息管理要求,为运维人员提供更加智能化、便捷化的管理操作,提高运维办公效率;运维可视化套件主要是对机场行李系统进行三维建模与空间渲染,形成三维数字孪生场景,并将人员作业、设备运行状态等数据有机融合设计,可以直观反映运维管理的整体情况,为一线人员提供清晰有效的数据决策依据。
(5)运行展示层
运行展示层对业务功能层处理后的数据进行图表展示,是系统的对外门户。展示层由各种客户端、客户端软件以及交互界面构成,可以通过不同的展示形式和交互方式来向用户展现系统的运维三维可视化界面、系统健康度、设备运行数据、故障预警报警、运维深度分析等主要信息。除了各种静态数据展示,还可以实现动态数据的实时监测和预警,以及各种复杂数据的可视化展示,使运维人员能够更加直观地了解系统的运行状态和各项指标。
2.核心功能
本文设计的行李系统智能运维方案主要由运维状态监测[2]、运行状态预测、故障原因定位、三维可视化运维4大部分组成,具备较为完善的设备运行维护管理能力。首先通过不同方式获取行李系统设备运行数据,传输至服务器中进行存储、转换、清洗、分析、处理,再经由不同功能模型处理,实现行李系统设备运维智能化管控。
![图片[2]-机场行李处理系统智能运维方案的探索-JieYingAI捷鹰AI](https://www.jieyingai.com/wp-content/uploads/2024/07/1722182606515_1.jpg)
图2 电机数据采集现场
(1)运行状态监测
通过传感器采集设备的电压/电流/温度/振动、摄像头捕捉设备外观、计算获取功率/功耗,并将设备基本信息及前述基础工况数据传输至智能运维系统中进行分析处理,供运维人员实时查看对应设备的健康状况以及实时运行参数。同时支持根据设备运行工况自定义设置阈值,结合行李系统三维可视化界面进行异常预警报警,故障事件可根据行李系统实际运行情况进行优先级划分,形式包括声音、颜色、弹窗等,运行状态监测用于精准发现存在风险的设备,为规避行李系统设备意外停机提供技术支撑。以电机温度、振动数据采集为例,现场如图2所示。
(2)运行状态预测
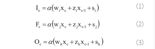
设备运行状态预测模块通过搭建LSTM时间序列模型,根据对加装在设备上传感器采集的数据进行分析,结合专家知识库,可实现行李系统设备的寿命预测[3]。
LSTM是深度学习领域中较为典型的一种网络,可有效拟合复杂非线性关系,主要用来解决长序列模型训练中出现的梯度灾难问题。相较于传统循环神经网络(Recurrent Neural Network,RNN),LSTM保留了相当一部分特性,但同时也引入“门机制”,用于控制特征的流通时效,因此在较长的序列中有更好的表现。
LSTM同样具有输入层、隐藏层和输出层,与此对应的门机制分别为输入门、遗忘门和输出门,表达式分别为:
![图片[3]-机场行李处理系统智能运维方案的探索-JieYingAI捷鹰AI](https://www.jieyingai.com/wp-content/uploads/2024/07/1722182606515_2.jpg)
其中,a为分类函数,xc为当前时刻的输入, xc-1为前一时刻外部状态, w、c 、s 为可调整的学习参数。
LSTM预测行李系统设备运行状态模型中,主线思想是预先对设备运行状态数据(如振动、温度等)构建的特征向量进行清洗、标记、编码等步骤,通过引入的“门机制”,使网络内部状态选择性保留预处理的特征数据信息,在确定模型层数、每层神经元个数、激活函数类型后,不断调整训练的批次大小、学习率和损失函数等参数,从而达到长序列学习目的,实现行李系统设备寿命等预测。
其工作机制示意图,如图3所示。
![图片[4]-机场行李处理系统智能运维方案的探索-JieYingAI捷鹰AI](https://www.jieyingai.com/wp-content/uploads/2024/07/1722182606515_3.jpg)
图3 LSTM工作机制示意图
其中:为激活函数, 为当前状态的输出。
此外,设备运行状态预测模块还可通过拟合设备运行的非线性高斯曲线,实现运行设备空闲率、运行趋势等的预测分析。
(3)故障原因定位
故障原因远程定位模块可实现关键设备的电气或机械故障的分类判别,该功能主要基于工单智能分析、历史故障摘要管理及知识库内容储备,标定不同设备的故障特征,进行智能分析,输出聚类结论供系统处理人员参考。当设备发生故障后,系统根据设备故障情况自动分析引起故障最可能的原因并自动推荐维修和排故方案,匹配最合适的维修策略,自动创建有针对性维修工单,指导维修人员进行维修工作,实现维修作业的标准化;故障维修工作完成后,设备运维人员通过移动端将运维记录在线上报系统,并可通过拍照将现场维修前与维护修后的照片上传到系统;管理员通过上传的照片,可以辅助设备维修工单验收,进行设备维修档案归档,并形成设备维修履历表,最后纳入设备维护工艺知识库。
(4)三维可视化运维
大型机场行李系统空间布局复杂,平面化电子地图不利于第一时间查看系统故障设备的基础信息,也无法给出指导性运维决策,使得行李系统运维变得复杂且低效。通过应用三维可视化技术,对机场行李系统进行三维建模,模拟构建一个拟真场景,实现在数字空间中设备模型与实体的信息交互,由大屏幕、浏览器和移动端APP展示,加速运维人员对行李系统设备物理实体的熟悉,且三维界面可实时查看设备的健康状态、运行工况、故障报警、故障原因等信息,以辅助运维人员作出相应的智能化运维决策,实现运维工作的高效运行,使机场运维管理变得“触手可及”。此外,可视化界面支持自定义展示,用户可根据自身需求定制化展示所关注的信息。
三
行李系统运维智能化前景展望
随着现代科学技术飞速发展和应用,行李系统运维的智能化已经成为行业发展的重要趋势。未来,行李系统将越来越依赖智能化技术来确保其可靠性和稳定性,这不仅将提高机场运营的效率,也将为航空公司带来诸多竞争优势。关于行李系统的智能化发展前景,预测如下:
1.AR+5G运维实景增强技术的应用[4]
将新一代的AR技术与5G通讯技术应用到行李系统智能运维业务中,可以显著提升运维效率和准确性。例如AR技术可以将设备的故障信息、维修指南以三维模型的形式叠加在所维护的设备上,帮助现场技术人员快速判断问题所在并按照指南进行操作,同时指挥中心人员也可以利用AR技术进行远程维修排故支援,利用5G的高速、低延迟的特性以确保现场和指挥中心之间的数据传输快速且稳定,使得远程维修排故支援可以更加实时、准确地进行。另外AR技术也可应用于维修培训指导中,通过AR技术将机械设备的内部结构、运行原理等真实地反映到设备模型上,使维修人员更直观地理解设备的工作原理和维修步骤,提高培训效率。
2.GIS+GPS交互式移动运维技术的应用[5]
GIS+GPS交互式运维技术结合地理信息系统(GIS)和全球定位系统(GPS)技术优势,实时显示运维对象的位置和状态信息,为机场行李系统运维提供更高效、精准的运维管理。例如,通过GIS三维成像技术,可以将运维对象的位置和状态信息实时展示在三维地图上,同时运维人员使用集成GPS模块的无线移动终端进行现场操作和维护,实时上报行李系统设备的故障定位和现场运维情况,实现运维任务的可视化跟踪。此外,该技术还可以实现运维路径导航,利用GIS的可视化功能,将最优路径显示在地图上,为运维人员提供更为直观的路径指引,提高设备运维的效率、准确性和响应速度。
3.BIM+AIoT设备编码管理体系建设
BIM+AIoT设备编码管理体系是一种创新的管理方案,它将建筑信息模型(BIM)与人工智能物联网(AIoT)技术相结合,以实现对设备的统一编码管理。通过这种方案,可以更高效地进行资源调度和成本控制。具体而言,BIM技术用于建立设备的三维模型,这些模型不仅包括设备的外观,还可详细展示其内部结构和管路布局。AIoT技术则用于实时监测和数据采集,获取设备的运行状态、参数和能耗等运维数据。这些数据与设备的BIM模型相关联,形成完整的设备信息档案。通过数据分析和可视化技术,设备运维数据被转化为有价值的信息,为运维管理提供更全面、精准的信息支持。这种管理体系有助于提高运维效率,降低成本,并确保机场运营的安全和顺畅。
综上所述,行李系统运维的智能化有着巨大发展潜力,但同时也需要科技工作者在实践中不断探索和完善,以克服各种挑战。未来发展中值得关注的方向,包括AR+5G运维实景增强技术的应用、GIS+GPS交互式移动运维技术的普及以及BIM+AIoT设备编码管理体系的建设,这些应用功能的实现将极大提升机场行李系统的运行效率和安全保障。
四
结语
本文通过分析机场行李系统运维现状,探索并形成一套行李系统智能运维方案,可有效实现行李系统设备运行状态监测、运行状态预测、故障原因定位及三维可视化运维,在一定程度上降低机场行李系统异常情况发生,保障机场行李系统运行效率,助力机场实现智能化管控,并且本文给出的方案前景,具有一定的前瞻性和扩展性,可为行李系统智能运维技术发展提供方向参考。
参考文献:
[1]中国民用航空局.月度运输生产统计[EB/OL].
SJ/202309/P020230920403137141866.pdf.2023.
[2]田玉超.基于深度元学习的风电流程剩余时间预测[D].山东建筑大学,2023.
[3]彭康.基于LSTM的云环境异常检测系统设计与实现[D].东南大学,2023.
[4]王磊,樊博.基于AR和5G网络的远程安全辅助维护研究[J].制造业自动化,2023,45(05):40-44+76.
[5]潘国兵,曾广燃,吴森阳.基于GPS与GIS的土石坝自动化监测预警系统研究[J].长江科学院院报,2013,30(09):110-113.
编辑、排版:罗丹
本文源自(点击可查看)










