![图片[1]-数据赋能ETC门架和车道系统运维管理-JieYingAI捷鹰AI](https://www.jieyingai.com/wp-content/uploads/2024/11/1730750483867_0.jpg)
作者:冷俊,李华平(贵州省高速公路监控与应急处置中心)
摘要:取消全国高速公路省界收费站后,高速公路收费模式由传统的封闭式收费向不停车快捷开放式收费转变。本文以贵州省高速公路为例,从行业监管部门的角度,围绕新收费模式运维管理的新需求,浅谈了如何运用数据挖掘分析提高ETC门架和车道系统运维管理效能,助力高速公路新收费模式平稳运行。
随着2019年取消全国高速公路省界收费站工程的实施,省界实体收费站被ETC门架系统替代,在高速公路互通枢纽等路径节点建设了ETC门架系统,收费站车道被改造成ETC专用车道或混合车道,高速公路收费模式由传统的封闭式模式转变为不停车快捷开放式收费模式[1],标志着我国高速公路进入一张网运营的新格局。在新收费模式下,ETC门架和车道系统能否正常运行不仅影响着高速公路经营业主的收益分配,还影响着路网的运行效率和用户的出行体验。然而对大量智能设备,传统的运维方式难以支撑新收费系统24小时不间断稳定和高效运行[2],急切需要新的方法提高ETC门架和车道系统运维管理效能,助力高速公路新收费模式平稳运行。
一
运维管理现状
截至2020年6月,贵州省高速公路通车总里程达7000公里以上,高速公路经营业主达30家。取消全国高速公路省界收费站后,贵州省高速公路路网共建设ETC门架系统1295套、车道4104条,现有开通收费站473个。在日常的ETC门架和车道系统运维管理中存在几点问题:一是运维单位多,管理关系复杂,ETC门架和车道系统建设时,采用统建和自建结合的模式,涉及不同的硬件供应商、软件开发商、网络通信企业,存在互相推诿的现象;二是缺乏考核和运维管理制度;三是贵州省无门架和车道运行监测平台,仅仅依靠交通运输部ETC运行监测系统查看系统故障情况,存在业主查看平台不及时、未能及时发现故障、修复滞后的现象;四是设备野外布设,分布位置偏、数量多,且无人值守,故障不易发现[3]。
上述问题导致当前维护模式为事后抢修的“被动维护”[4]“救火式维护”,故障处置滞后,严重影响了数据传输的完整性和实效性。
二
运维管理新需求
取消高速公路省界收费站后,建设了大量ETC门架系统,ETC门架和车道系统的正常运行直接影响高速公路经营业主的收益和人民群众的满意出行。为了保障设备长时间高效正常运行,高速公路行业监管部门在监测和督导设备运维方面有了新需求。
一是需要实时感知——清晰掌握运行现状。实时掌握ETC门架和车道系统运行状态,做到故障早发现、早介入、早恢复,保障联网收费系统运行稳定。
二是需要快速处置——迅速恢复正常运行。设备发生故障后,不能正常采集车辆车牌数据、OBU卡签数据等。ETC门架故障,不仅会影响车辆的标识,还会影响行驶路径的识别和费用的合算;车道故障,不仅会造成无法读取车辆信息、还会因无法正常完成交易,引发收费站拥堵等。一旦发生故障,需尽可能在短时内修复。
三是需要精准督促——分级分类督促督导。高速公路行业监管部门需要根据运维情况,区别不同的运维单位、不同的设备厂商的运维质量和响应时效,给出不同的调度指令,提高运维效率[5]。
四是需要故障防范——总结经验加强预防。通过对运维故障的统计分析,挖掘故障原因,分辨不同厂商、不同运行环境设备的运行特点等,发现运维难点和重点,强化日常巡检巡查重点,防范故障发生。
五是需要长效机制——依规管理提高效率。面对大量的ETC门架和车道系统、结构复杂的运维服务商,管理者需要建立一套涵盖整个运维流程的管理制度体系,把ETC门架系统和车道的运维管理制度化、系统化、规范化。
三
数据赋能,提升运维管理
效能
针对ETC门架和车道系统运维管理中存在的问题,结合取消省界收费站对行业监管部门提出的运维管理新需求,贵州省行业监管部门在运维管理实践中摸索,用数据全方位跟踪ETC门架和车道系统故障,数据分析总结故障原因,用数据督促各运维单位及时修复故障的新思路,从而提升ETC门架系统和车道的运行稳定性。以下为贵州省用数据赋能ETC门架和车道系统运维管理的实践总结。
(一)数据采集,助力事前巡检
一是为避免在运维管理中出现推诿的现象,行业监管部门组织各业主单位梳理合同,明确每个单位的运维职责。二是组织完善门架和车道基础信息(含编号、名称、所属收费站、桩号、IP地址、厂家、业主等信息),以此基础信息为准,加强对门架和车道的巡检。三是依托交通运输部ETC运行监测系统,为贵州省30个高速公路经营业主单位分配账号,督促各单位在8∶00和20∶00两个时段查看所辖门架和车道情况。
(二)数据监测,提升处置效率
1、信息推送,督促整改
指定运维监测员,定时从ETC运行监测系统导出故障明细,将故障信息关联业主单位,软、硬件单位等相关信息,在每日8∶30前形成连通率、RSU合格率、上传及时率等各项指标的故障明细表和运维单位对应排名情况等,通过建立的业主,软、硬件维护,通信等相关人员组成的“门架和车道系统运维管理”微信群及时下发,并要求于17点前反馈故障整改情况,建立故障事件跟踪处置台账,精准督促修复故障。
2、监测分析,精准处置
建立运行指标评价体系[6],根据ETC门架系统和车道连通、RSU、数据上传等不同故障类型对收费业务造成的影响大小,建立ETC门架系统和车道运行评价模型,量化评价指标,精准定位门架系统和车道的运行状况,对不同设备、不同故障事件进行分级分类精准管理。
贵州省根据交通运输部当前ETC门架系统评价指标体系和车道评价指标体系,以评分制(0~100分,100分为满分)建立单个门架、车道、收费站出入口交易数据上传及时率及各经营业主的综合评分和排名。ETC门架系统及车道评分量化如下表所示。
![图片[2]-数据赋能ETC门架和车道系统运维管理-JieYingAI捷鹰AI](https://www.jieyingai.com/wp-content/uploads/2024/11/1730750483867_1.png)
具体综合评分计算公式如下。
业主的综合评分Y为该业主负责运维的门架的平均分
、车道的平均分
、收费站出入口交易数据上传及时率平均分
的算术平均。
![图片[3]-数据赋能ETC门架和车道系统运维管理-JieYingAI捷鹰AI](https://www.jieyingai.com/wp-content/uploads/2024/11/1730750483867_5.png)
(1)
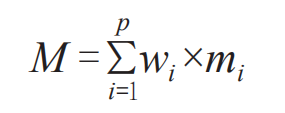
Y为运维业主的综合评分;M为单个门架系统的综合评分;C为单个车道的综合评分;S为单个收费站出入口交易数据上传及时率的综合评分。门架的综合评分为:
![图片[4]-数据赋能ETC门架和车道系统运维管理-JieYingAI捷鹰AI](https://www.jieyingai.com/wp-content/uploads/2024/11/1730750483867_6.png)
(2)
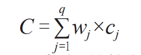
mi为门架的第i个指标评分;wi为门架的第i个指标的权重;p为门架评分指标个数。车道的综合评分为:
![图片[5]-数据赋能ETC门架和车道系统运维管理-JieYingAI捷鹰AI](https://www.jieyingai.com/wp-content/uploads/2024/11/1730750483867_7.png)
(3)
cj 为车道的第j个指标评分;wj为车道的第j个指标的权重;q为车道评分指标个数。收费站车道的综合评分为:
![图片[6]-数据赋能ETC门架和车道系统运维管理-JieYingAI捷鹰AI](https://www.jieyingai.com/wp-content/uploads/2024/11/1730750483867_8.png)
(4)
sk为收费站车道综合的第k个指标评分;wk为收费站车道综合的第k个指标的权重;n为收费站车道综合的指标个数。
本文中,
的确定可参考多因素加权平均法评价方法或层次分析法(AHP)[7]。建立量化评分指标体系后,以周为周期,对贵州省运行的ETC门架、车道进行综全评分,根据定位评分情况,分级分类对门架、车道进行精准排查,深挖故障原因,排除故障,总结分析,长效提高运行稳定性。同时,通过对故障原因、设备性能、人员效率、成本效益和服务质量等信息数据的整合分析,深挖其数据价值,为运维业务的开展、服务提升提供数据支撑,实现运维工作的持续改进。例如挖掘评分指标及设备厂商数据,为备品备件的储备、硬件部件的更换等提供决策参考。
门架评价指标体系为:门架连通合格率、门架RSU正常率、门架车牌识别设备正常率、门架车牌识别数据上传及时率、门架交易上传及时率。车道评价指标为:车道连通合格率、车道RSU正常率、车道车牌识别设备正常率、车道控制器正常率、入口收费站交易上传及时率、出口收费站交易上传及时率。
(三)数据考核,建立长效机制
建立考评机制,促进整改落实。建立基于门架指标的评分指标体系后,针对不同运维责任单位的运维情况,建立考核评价指标体系及考评制度,按月度、季度、年度对运维责任单位进行考评,并将考评结果与目标绩效、服务评分等挂钩,将考评细化到整个运维过程中,实现运维服务质量、运维成本、人员效率等方面的标准化监督与评价,督促运维责任的落实。
(四)数据应用,实现智慧管理
充分融合门架和车道系统基础数据、运维监测数据、故障填报数据等,整合功能模块,实现数据的“聚、通、用”,搭建包含基本信息管理、人员管理、运行指标监测、报表统计、故障填报、工单派发、故障报警、故障修复等功能的运维监测平台[8,9],可视化呈现数据挖掘、分析结果,实时发布运维动态,发挥数据辅助管理决策的作用。正在搭建的运营监测服务平台如下图所示。
![图片[7]-数据赋能ETC门架和车道系统运维管理-JieYingAI捷鹰AI](https://www.jieyingai.com/wp-content/uploads/2024/11/1730750483867_11.png)
四
效果
当前,贵州搭建了基于交通运输部ETC运行监测系统数据为基础的贵州省收费站与车道运营服务平台部分模块,可实现ETC门架系统及车道监测指标的监测分析、运维业主考评排名、报表快速导出、故障填报分析及可视化呈现等功能;完善了基础信息及信息推送体系,建立了分析监测及通报考评机制。经过实践,通过数据管理的辅助,ETC门架系统和车道连通率出现的故障能在当天得到修复,各项指标稳定在99%以上。
五
结束语
目前,贵州省主要以交通运输部门架和车道运行监测数据为主,关联门架和车道基础数据、业主信息等数据挖掘分析,为故障前巡检、故障中督促、故障后评估考核服务,保障新收费系统平稳运行,保障高速公路各经营业主的利益,提升人民群众的获得感和幸福感。下一步,将总结梳理前期运维管理经验和成果,基于大量可感知、可采集、可上传、可交互智能化设备,运用5G、大数据等信息化技术,建立门架和车道系统运维管理数据监测系统,跟踪门架和车道运行数据,做到门架和车道实时监测,出现故障能及时落实到人进行修复,保障门架和车道的长时高效运行。
参考文献
[1] 刘睿健.消界去站论“自由”——高速公路取消省界收费站背景下自由流收费探讨[J].中国交通信息化,2019(4):29-35.
[2] 谢黎.基于信息化的高速公路机电系统运维管理体系探析[J].中国交通信息化,2020(5):26-28.
[3] 樊升印,杜志军.取消省界收费站背景下智能化运维管控方案[J].中国交通信息化,2019(8):126-128.
[4] 尹鸿鹏,王恒.取消省界收费站背景下智能化运维管控方案浅析[J].中国交通信息化,2020(04):118-121.
[5] 黄来荣.取消省界收费站背景下省级ETC运行监测系统设计[J].中国交通信息化,2019(S1):160-161.
[6]侯炳辉,程佳惠,曹慈惠.信息系统评价体系及评价方法[J].中国管理科学.1993(3).
[7] 李学平.用层次分析法求指标权重的标度方法的探讨[J].北京邮电大学学报(社会科学版),2001(1):25-27.
[8] 卢梦婕,孙亮.取消省界收费站背景下高速公路协同化运营运维系统探究[J].中国交通信息化,2020(5):113-115.
[9] 周玲,龙开红,甘洁之.高速公路智慧运维解决方案及应用[J].中国交通信息化,2018(2):136-138.
(原文刊载于2020年第9期《中国交通信息化》)
微信编辑| 户利华










