前言
前端侧重于人机交互和用户体验,后端侧重于业务逻辑和大规模数据处理。理论上,面向用户的产品里,所有问题(包括产品、设计、后端、甚至看不见的问题)的表现形式,都会暴露在前端,而只有部分问题(数据问题、计算问题、安全问题等)暴露在后端,这就意味着前端起到了至关重要的承载和连接作用。
前端技术的更新日新月异;前端框架的技术选型百家争鸣;视觉审美的潮流不断更替;可视化效果酷炫无比;用户的运营体系逐渐精细化;适老化、无障碍化、青少年人群的诉求浮出水面;智能设备的升级和适配无穷无尽。所有的这一切,对前端领域和前端同学就一个要求:要折腾,爱折腾,反复折腾。
一、前端开发流程
需求评审
一般在做需求评审时,PRD里只有交互稿,尚未有视觉稿。需要在评审结束并达成一致后,再输出视觉稿。
1、需求分析:需求点逐一讨论、需求合理性、交互评审、逻辑梳理,以及可能遗漏的部分。
提示:逻辑梳理的过程很花时间,贯穿开发始末。
2、涉及渠道/环境:
渠道和环境,往往是需求盲点,也是影响技术选型和开发进度的关键因素。
3、可行性分析:是否有技术上的实现难点,是否有其他的依赖条件。
数据来源:哪些是调接口,哪些是做成可配置,哪些是前端写死;可配置的部分,是前端读取,还是接口读取然后返给前端。提示:可配置的灵活性与风险正相关。
异常流设计:容错、容灾、兜底、降级、回退机制、风险可控。prd一般只写了正常流的逻辑,异常流往往需要研发同学配合做全盘考虑。
6、需求变更:如有需求不明确、改需求、加需求、砍需求、加时间、改时间、加人力等等,需要提前预判风险。
视觉评审
1、进度跟进:视觉稿是分批交付,还是一次性给到?这是要首先考虑的。
按照历史经验,前端项目进度的延误,有一半的概率依赖于视觉稿的进度;因为一个新页面的开发,前端有30%~50%的工作在做页面构建。
2、视觉稿的文件格式:
备注:Sketch 是Mac平台独有的原型设计软件,最为知名和常见。Figma 是最近比较火的全平台原型设计软件,有取代 Sketch 的趋势。
【划重点】交付视觉稿时,需要视觉同学输出“带尺寸标注”的视觉规范文件。
3、检查需求:是否覆盖需求和交互设计中的全部设计点。
4、检查视觉规范:
5、哪些图是前端构建,哪些图是写死图片资源,哪些是可配置;可配置的图中,需要把每个元素做拆解,这个元素是合并到背景图中,还是单独切图,还是读取数据。
6、切图格式:png(透明格式)、jpg
切图的图片大小,不要太大。移动端的大图(比如幕帘弹窗的背景图)建议不超过50kb,小图建议不超过20kb。图片在上传之前,可以先在 上进行压缩。
7、复杂图形、动画的实现难度和实现方式,技术评估。详见接下来要讲的「技术选型」。
排期评估
1、排期一般包含这几个要素:
2、评估排期时,要根据视觉稿排期,不要根据交互稿排期。这是首先要强调的。一个新页面的开发,前端有30%~50%的工作在做页面构建。 只看交互稿的话,无法评估真实的开发工作量。
3、前端开发工作包括:概要设计、视觉构建、逻辑代码、前后端联调、自测、转体验。每一项都要单独拆解后评估时间,加在一起就是整体的排期。
4、排期时,要考虑其它的依赖因素:比如视觉稿延期、需求不明确、接口进度、测试进度,当然最重要的是上线进度。紧急项目,经常是根据上线时间倒推开发排期。
5、即将进入开发阶段后,与测试部门协调测试资源,确认转测时间;大型项目&重点项目,需要在需求评审阶段,提前知会测试部门,让其预留时间。
6、如果自己有在并行开发其他项目,则排期时需要给自己预留 buffer。并行开发两个项目是家常便饭;但,这个项目在测试时,往往很难抽身去做别的项目,因为会一直被测试童鞋牵制。
7、开发排期:如果开发排期有变更,需要立即周知其他相关人员,尤其是要评估测试排期的风险。测试排期比开发排期 更难变更。
技术选型
技术选型千变万化,百家争鸣。这里需要列出你所在部门的常用技术选型,并非市面上的技术栈罗列。
1、页面开发框架:
(1)多端页面:(小程序原生页面、H5)
注2:有些业务,一开始只做H5,后来迭代时,要求做小程序原生页面。这一点也要纳入需求评估。
(2)H5页面:Vue.js 框架、React 框架
(3)App端:
(4)B端开发,UI框架:
(5)Node.js后端开发框架:
2、CSS预处理器:SASS
3、复杂图形、动画的实现难度和实现方式,技术评估:
概要设计
开发环节
1、代码设计:
(1)目录结构设计、代码风格
(2)公共组件、工具类设计:确保可复用、高内聚低耦合的原则。哪些可以复用京喜平台的公共组件,哪些需要自己单独写 components、utils。
(3)弹窗设计:如果一个页面有多个弹窗,建议先设计一个抽象的弹窗基类。设计弹窗时,需要考虑的是:
2、视觉构建:
(1)后端在开发接口时,前端做视觉构建;视觉构建完成后,前端根据接口文档的定义,通过 mock 数据的方式调接口,写前端逻辑;待接口开发完成后,可进入前后端联调阶段。
(2)建议前端童鞋学会自己切图,可控程度更高,也能减少沟通成本。学会基本的 PS、Sketch操作就行,做一名合格的前端切图仔。
(3)对于规则的样式和动画,建议用代码实现,而不是图片。图片会降低页面的打开性能,且大屏都显示效果比较模糊。
(4)切图的尺寸要求:100%宽度以 750px 为准。
(5)像素级还原视觉稿:推荐使用 Snipaste 截图软件,按F1截图,F2贴图,然后调整贴图的透明度为50%,将贴图与前端页面进行像素级比对。
3、业务逻辑实现:
(1)建议先用思维导图,梳理业务逻辑,再着手写代码。思维导图有利于理清逻辑、事后复盘、高效给他人讲解,一目了然。重要的是思想,而不是用哪一款工具更酷。
(2)在调用接口时,要明确前端自己的安全边界:假设接口字段异常时,前端需要有自己的降级措施,不能完全依赖和信任字段,导致让页面直接白屏、交互异常、甚至挂掉。
(3)除了完成产品要求的业务逻辑之外,还要时刻考虑异常流的设计和容灾。
(4)很多前端童鞋在做需求时,有个习惯是不喜欢细看prd,只对着交互稿和视觉稿进行开发。这样做虽然省事,但有三道手续不能少:
4、非功能性需求。业务代码写完后,还有很多细节需要打磨。比如:
5、代码提交:
6、自测:
产品体验
1、在真机体验,而不是在模拟器上。最好是 iOS和 Android 都要对比体验。
2、体验时,记录整理各种 todolist:
代码评审/代码review
代码 review 可以在测试期间进行。
review顺序:
视觉走查
视觉走查 可以在测试期间进行。
视觉童鞋都有像素眼,即便是一两个像素的区别,他们都能瞧出来。所以,建议前端童鞋加强自测,努力做到像素级还原视觉稿。
推荐前端童鞋使用 Snipaste 截图软件,按F1截图,F2贴图,然后调整贴图的透明度为50%,将贴图与前端页面进行像素级比对。
测试环节
1、建议加强自测质量。进入测试阶段后,测试童鞋会进行一轮冒烟测试,如果质量不合格,将会被打回,这就很尴尬了。
2、整理自测、测试、发布时需要的主流程checkList,每次迭代时都能用上。
转测邮件的基本元素,包括但不仅限于:
3、测试童鞋提的bug单,开发同学需要在 XX 小时内处理完成,否则会被QA催。
4、需要控制bug单数量,否则会被追责复盘。同类问题,建议测试童鞋合并到同一个bug单中。
5、测试管理系统 是所有人处理bug 流程的平台,不是让测试童鞋随便记录个人问题的。所以要提醒测试童鞋,明确该问题是bug,再提单;不是bug,要么不提,要么在沟通后驳回。
发布方案
上线确认
二、前端工程化
Git 版本管理
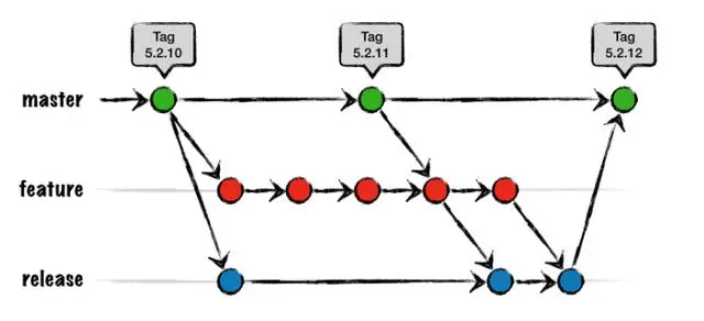
1、前端代码仓库 git 分支规范:
![图片[1]-2022年Web前端开发流程和学习路线(详尽版)-JieYingAI捷鹰AI](https://www.jieyingai.com/wp-content/uploads/2024/12/1733007811476_0.webp)
![图片[2]-2022年Web前端开发流程和学习路线(详尽版)-JieYingAI捷鹰AI](https://www.jieyingai.com/wp-content/uploads/2024/12/1733007811476_1.webp)
2、Commit Message 的格式,只允许使用以下10种标识,最常见的是 feat和 fix :
3、业务分支,命名规范:(建议一定加上日期)
代码规范
CSS预处理器
包管理
编译构建
小程序工程化
![图片[3]-2022年Web前端开发流程和学习路线(详尽版)-JieYingAI捷鹰AI](https://www.jieyingai.com/wp-content/uploads/2024/12/1733007811476_2.webp)
测试相关
三、前端核心知识
前端入门核心知识点
浏览器
HTML5
CSS、CSS3
JS基础
JS 高级
Node.js
Web 安全
页面形式
四、前端框架
每个框架和工具,都有自己的约束、价值和最佳实践。
JS框架
对比:
在vue 中,几乎给你想要的全部给你了;而react 追求的更多的是自力更生。
CSS框架、组件库(B端常用)
知识库框架
补充:知识库框架,首先推荐 Vuepress 和 Docusaurus,功能强大,成熟稳定。
API 文档框架
跨端框架
桌面应用开发框架
Electron 非常流行,也被大量公司使用,也有很多成功软件,比如 VS Code、Facebook Messager、Twitch、Microsoft Teams 等。Electron 虽然上手容易,但问题也很明显,就是慢、吃内存和大,Electron 吃内存是因为打包的 Chromium 吃内容,同时一个 Hello World 编译后就要 120M+ 。
VS Code、chrome、小程序开发者工具,本质上都是运行的 chrome 内核。所以你会发现,这三个软件都很占内存,都很卡。我将其称之为“前端头痛三剑客”。
前端可视化框架、图表库
编辑器框架
Node.js 框架
服务端渲染框架
前端测试框架
五、前端性能优化
性能分析工具
性能参数
浏览器渲染优化
JavaScript 优化
资源优化
构建优化
网络传输优化
六、前端工具和资源
前端文档
前端社区
JS 学习资源
JS 代码规范
1、Airbnb JavaScript Style Guide:
2、clean code JavaScript:
前端刷题
CSS 学习资源
字体相关资源
抓包工具
兼容性查看工具
图片相关工具
设计工具
流程图工具
大纲笔记
markdown 编辑器
代码编辑器
七、前端书籍推荐
JS经典书籍
JS进阶
CSS
Vue.js
Node.js
数据结构和算法
后端
项目管理和认知
产品
设计
运营
商业
思维和认知
八、前端总结和认知
研发视角,如何理解需求
![图片[4]-2022年Web前端开发流程和学习路线(详尽版)-JieYingAI捷鹰AI](https://www.jieyingai.com/wp-content/uploads/2024/12/1733007811476_3.webp)
从上面的流程图中可以看出,产品经理的交付物是什么?是prd吗?显然不是。
产品经理的工作跟设计师、工程师非常不同。人们对工程师的期望是交付有效的代码,对设计师的期望是交付视觉稿。而对于产品经理来说,只交付一份prd是不够的。
产品经理要负责跟进整个产品周期,包括上线后的页面效果和数据表现。编写需求规范是一种沟通和推动项目的手段,但规范本身并没有内在的价值。很多产品经理并不借助prd来交流他们的想法,他们可以用谈话,还可以把想法画在白板上。也有一些产品经理虽然写了规范,但却没有参照执行。
前端工程师应该具备怎样的能力和素质
前端认知
1、虽然我们绝大多数时间耗在业务开发上,但仍需要积累其他方面的沉淀,做多一些有趣的、可持续的事情,比如分享总结、基础能力建设、研发效能提升、技术运营建设、技术沉淀等。
2、学会提问。我们日常在提出问题和解决问题时,经常容易陷入X-Y问题,导致目标不明确、思路不清晰、沟通效率低下,甚至在一个完全错误的方向上浪费大量的资源、时间和精力。无论是在寻求帮助的人身上,还是在提供帮助的人身上,都有所体现。
在面对一个问题时,要理解这句话的意图、事实、情绪、期待。学会提问,学会答疑,都是一种智慧。参考提问的智慧 。
3、全流程跟进,持续交付,创造业务价值。
4、前端的本质是链接商业、设计、计算能力,为用户提供专业的人机交互体验。
5、产品能力和技术能力是:判断信息,抓住要点,整合有限的资源,把自己的价值打包成一个产品进行交付,并获得回报。
6、部门体系的角色有很多:运营、产品、视觉、开发、测试、架构师、leader、行销、数据分析、运维等。有些工作不是“做或者不做”的问题,而是程度的问题。在注意边界的前提下,主动承担、全盘思考、多一份同理心,这是能力和责任逐渐增强的体现。
7、谦逊、尊重和信任,是协同作战和良性合作的基础。
8、组织内,人与人的关系应该是怎样的?有人认为是管理与被管理的关系,有人认为是合作关系。而我认为,组织内的关系是奉献关系。没有奉献作为基础,组织关系是不成立的。组织内的人与人之间是相互付出的关系,部门与部门是相互付出的关系,上级与下级之间是相互付出的关系,在这样的相互奉献关系中,组织才会真正地存在并发挥作用。
奉献关系所产生的基本现象是:每个处于流程上的人更关心他能够为下一个工序做什么样的贡献;每个部门都关心自己如何调整才能够与其他部门有和谐的接口;下级会关注自己怎样配合才能够为上级提供支持,而上级会要求自己为下级解决问题并提供帮助。
能力很重要,而付出更重要。
9、优秀的人有几个特性:敏感、不能忍、有动手优化的能力。
10、前端侧重于人机交互和用户体验,后端侧重于业务逻辑和大规模数据处理。理论上,面向用户的产品里,所有问题(包括产品、设计、后端、甚至看不见的问题)的表现形式,都会暴露在前端,而只有部分问题(数据问题、计算问题、安全问题等)暴露在后端,这就意味着前端起到了至关重要的承载和连接作用。
11、前端技术的更新日新月异;前端框架的技术选型层出不穷;视觉审美的潮流不断更替;可视化效果酷炫无比;用户的运营体系逐渐精细化;适老化、无障碍化、青少年人群的诉求浮出水面;智能设备的升级和适配无穷无尽。所有的这一切,对前端领域和前端同学就一个要求:要折腾,爱折腾,反复折腾。









