摘 要
随着科学技术的飞速发展,各行各业都在努力与现代先进技术接轨,通过科技手段提高自身的优势;对于跨境电商系统当然也不能排除在外,随着网络技术的不断成熟,带动了跨境电商系统,它彻底改变了过去传统的管理方式,不仅使服务管理难度变低了,还提升了管理的灵活性。这种个性化的平台特别注重交互协调与管理的相互配合,激发了管理人员的创造性与主动性,对跨境电商系统而言非常有利。
本论文主要论述了如何使用java语言开发一个springboot跨境电商系统,本系统将严格按照软件开发流程进行各个阶段的工作,采用B/S架构,面向对象编程思想进行项目开发。在引言中,作者将论述跨境电商系统的当前背景以及系统开发的目的,后续章节将严格按照软件开发流程,对系统进行各个阶段分析设计。
关键字:跨境电商销售 Mysql数据库 springboot框架
Abstract
With the rapid development of science and technology, all walks of life are trying to integrate with modern advanced technology and improve their own advantages through scientific and technological means; Of course, the cross-border e-commerce system cannot be excluded. With the continuous maturity of network technology, the cross-border e-commerce system has been driven. It has completely changed the traditional management mode in the past, which not only reduces the difficulty of service management, but also improves the flexibility of management. This personalized platform pays special attention to the mutual cooperation between interaction, coordination and management, stimulates the creativity and initiative of managers, and is very beneficial to the cross-border e-commerce system.
This paper mainly discusses how to use java language to develop a springboot cross-border e-commerce system. The system will carry out the work of each stage in strict accordance with the software development process, and adopt B / S architecture and object-oriented programming idea for project development. In the introduction, the author will discuss the current background of cross-border e-commerce system and the purpose of system development. The subsequent chapters will analyze and design the system in each stage in strict accordance with the software development process.
Key words: cross border e-commerce sales MySQL database springboot framework
目录
第一章绪论
1.1背景及意义
系统管理也都将通过计算机进行整体智能化操作,对于跨境电商系统所牵扯的管理及数据保存都是非常多的,例如管理员;首页、站点管理(轮播图、公告栏)用户管理(管理员、会员用户)内容管理(热卖资讯、资讯分类列表)商城管理(商品管理、分类列表、订单列表)等功能;会员用户:首页、公告消息、热卖资讯、购物车、我的(个人资料、密码修改、收货地址、收藏、订单)这给管理者的工作带来了巨大的挑战,面对大量的信息,传统的管理系统,都是通过笔记的方式进行详细信息的统计,后来出现电脑,通过电脑输入软件将纸质的信息统计到电脑上,这种方式比较传统,而且想要统计数据信息比较麻烦,还受时间和空间的影响,所以为此开发了跨境电商系统;为用户提供了方便管理平台,方便管理员查看及维护,并且可以通过需求进行内容的编辑及维护等;对于用户而言,可以随时进行查询所需信息,管理员可以足不出户就可以获取到系统的数据信息等,而且还能节省用户很多时间,所以开发跨境电商系统给管理者带来了很大的方便,同时也方便管理员对用户信息进行处理。
本论文跨境电商系统主要牵扯到的程序,数据库与计算机技术等。覆盖知识面大,可以大大的提高系统人员工作效率。
1.2国内外研究概况
随着国内经济形势的不断发展,中国互联网进入了一个难得的高峰发展时期,这使得中外资本家纷纷转向互联网市场。然而,许多管理领域的不合理结构,人员不足以及市场管理需求的增加使得更多的人具备了互联网管理的意识。
在当今高度发达的信息中,信息管理改革已成为一种更加广泛和全面的趋势。 “跨境电商系统”是基于Mysql数据库,在springboot框架程序设计的基础上实现的。为确保中国经济的持续发展,信息时代日益更新,服务行业仍在蓬勃发展。同时,随着信息社会的快速发展,各种管理系统面临着越来越多的数据需要处理,如何用方便快捷的方式使管理者在广阔的数据海洋里面查询、存储、管理和共享有效的数据信息,对我们的学习,工作和生活具有重要的现实意义。因此,国内外学术界对此进行了深入而广泛的研究,一个新的研究领域——springboot诞生了。
1.3 研究的内容
目前许多人仍将传统的纸质工具作为信息管理的主要工具,而网络技术的应用只是起到辅助作用。在对网络工具的认知程度上,较为传统的office软件等仍是人们使用的主要工具,而相对全面且专业的信息管理软件仍没有得到大多数人的了解或认可。本选题则旨在通过标签分类管理等方式,实现跨境电商系统的各种功能,从而达到对跨境电商系统的管理。
详细内容介绍,将在以下六章中详细阐述:
第一章、绪论,介绍了研究课题选择的背景及意义、研究现状,简要介绍了本文的章节内容。
第二章、引入技术知识,通过引入关键技术进行开发,向系统中涉及直观表达的技术知识。
第三章、重点分析了系统的分析,从系统强大的供需市场出发,对系统开发的可行性,系统流程以及系统性能和功能进行了探讨。
第四章、介绍了系统的详细设计方案,包括系统结构设计和数据库设计。
第五章、系统设计的实现,通过对系统功能设计的详细说明,论证了系统的结构。
第六章、系统的整体测试,评判系统是否可以上线运行。
第二章 关键技术的研究 2.1 开发技术
本系统前端框架采用了比较流行的渐进式JavaScript框架Vue.js。使用Vue-Router和Vuex实现动态路由和全局状态管理,Ajax实现前后端通信,Element UI组件库使页面快速成型。后端部分:采用springboot作为开发框架,同时集成MyBatis、Redis等相关技术。
2.2 MVVM模式
MVVM是Model-View-ViewModel的简写。它本质上就是MVC 的改进版。MVVM 就是将其中的View 的状态和行为抽象化,让我们将视图 UI 和业务逻辑分开。当然这些事 ViewModel 已经帮我们做了,它可以取出 Model 的数据同时帮忙处理 View 中由于需要展示内容而涉及的业务逻辑。微软的WPF带来了新的技术体验,如Silverlight、、、、……,这导致了软件UI层更加细节化、可定制化。同时,在技术层面,WPF也带来了 诸如Binding、Dependency Property、Routed Events、Command、DataTemplate、ControlTemplate等新特性。MVVM(Model-View-ViewModel)框架的由来便是MVP(Model-View-Presenter)与WPF结合的应用方式时发展演变过来的一种新型架构。它立足于原有MVP框架并且把WPF的新特性糅合进去,以应对客户日益复杂的需求变化。
2.3 MySQL数据库
科技的进步,给日常带来许多便利:教室的投影器用到了虚拟成像技术,数码相机用到了光电检测技术,比如超市货物进出库的记录需要一个信息仓库。这个信息仓库就是数据库,而这次的跨境电商系统也需要这项技术的支持。
用MySQL这个软件,是因为它能接受多个使用者访问,而且里面存在Archive等。它会先把数据进行分类,然后分别保存在表里,这样的特别操作就会提高数据管理系统自身的速度,让数据库能被灵活运用。MySQL的代码是公开的,而且允许别人二次编译升级。这个特点能够降低使用者的成本,再搭配合适的软件后形成一个良好的网站系统。虽然它有缺点,但是综合各方面来说,它是使用者的主流运用的对象。
2.4 B/S结构
B/S(Browser/Server)比前身架构更为省事的架构。它借助Web server完成数据的传递交流。只需要下载浏览器作为客户端,那么工作就达到“瘦身”效果, 不需要考虑不停装软件的问题。
2.5 spring boot框架介绍
Spring框架是上的一种开源应用框架,提供具有控制反转特性的容器。尽管Spring框架自身对编程模型没有限制,但其在Java应用中的频繁使用让它备受青睐,以至于后来让它作为(EnterpriseJavaBeans)模型的补充,甚至是替补。Spring框架为开发提供了一系列的解决方案,比如利用控制反转的核心特性,并通过依赖注入实现控制反转来实现管理对象生命周期容器化,利用面向切面编程进行声明式的事务管理,整合多种持久化技术管理数据访问,提供大量优秀的Web框架方便开发等等。Spring框架具有控制反转(IOC)特性,IOC旨在方便项目维护和测试,它提供了一种通过Java的反射机制对Java对象进行统一的配置和管理的方法。Spring框架利用容器管理对象的生命周期,容器可以通过扫描XML文件或类上特定Java注解来配置对象,开发者可以通过依赖查找或依赖注入来获得对象。Spring框架具有(AOP)框架,SpringAOP框架基于代理模式,同时运行时可配置;AOP框架主要针对模块之间的交叉关注点进行模块化。Spring框架的AOP框架仅提供基本的AOP特性,虽无法与AspectJ框架相比,但通过与AspectJ的集成,也可以满足基本需求。Spring框架下的事务管理、远程访问等功能均可以通过使用SpringAOP技术实现。Spring的事务管理框架为Java平台带来了一种抽象机制,使本地和全局事务以及嵌套事务能够与保存点一起工作,并且几乎可以在Java平台的任何环境中工作。Spring集成多种事务模板,系统可以通过事务模板、XML或Java注解进行事务配置,并且事务框架集成了消息传递和缓存等功能。Spring的数据访问框架解决了开发人员在应用程序中使用数据库时遇到的常见困难。它不仅对Java:JDBC、iBATS/MyBATIs、Hibernate、Java数据对象(JDO)、ApacheOJB和ApacheCayne等所有流行的数据访问框架中提供支持,同时还可以与Spring的事务管理一起使用,为数据访问提供了灵活的抽象。Spring框架最初是没有打算构建一个自己的Web,其开发人员在开发过程中认为现有的StrutsWeb框架的呈现层和请求处理层之间以及请求处理层和模型之间的分离不够,于是创建了SpringMVC。
2.6 Vue.js 主要功能
Vue.js是一套构建用户界面的渐进式框架。与其他重量级框架不同的是,Vue采用自底向上增量开发的设计。Vue 的核心库只关注视图层,并且非常容易学习,非常容易与其它库或已有项目整合。另一方面,Vue 完全有能力驱动采用单文件组件和Vue生态系统支持的库开发的复杂单页应用。
Vue.js 的目标是通过尽可能简单的 API 实现响应的和组合的视图组件。
Vue.js 自身不是一个全能框架——它只聚焦于视图层。因此它非常容易学习,非常容易与其它库或已有项目整合。另一方面,在与相关工具和支持库一起使用时,Vue.js 也能驱动复杂的单页应用。
第三章系统分析
3.1 系统设计目标
跨境电商系统主要是为了用户方便对商品信息、订单评价、订单信息等信息进行操作,也是为了更好的让管理员进行更好存储所有数据信息及快速方便的检索功能,对系统的各个模块是通过许多今天的发达系统做出合理的分析来确定考虑用户的可操作性,遵循开发的系统优化的原则,经过全面的调查和研究。
系统所要实现的功能分析,对于现在网络方便的管理,根据自己的需求可以进行查看等,这样既能节省用户的时间,不用在像传统的方式,需要查询、由于很多用户时间的原因,没有办法去线下了解信息,真的很难去满足用户的各种需求。所以跨境电商系统的开发不仅仅是能满足用户的需求,还能提高管理员的工作效率,减少原有不必要的工作量。
3.2 系统可行性分析
系统的开发环境和配置都是可以自行安装的,系统使用springboot开发工具,使用比较成熟的Mysql数据库进行对系统前台及后台之间相关的数据交互,根据技术语言对数据库,结合需求进行修改维护,可以使得系统运行更具有稳定性和安全性,从而完成实现系统的开发。
(1)硬件可行性分析
跨境电商系统及信息分析的设计对于所使用的计算机没有什么硬性的要求,计算机只要可以正常的使用进行代码的编写及页面设计就可行,主要是对于服务器有些要求,对于平台搭建完成要上传的服务器是有一定的要求的,服务器必须选择安全性比较高的,然后就是在打开系统必须顺畅,不能停顿太长时间;性价比高;安全性高。
(2)软件可行性分析
提供类似于借口动态模型的通用机制,设计更加集中。此外,可以使用java语言轻松实现模块化和存储信息。另外,代码重用,也可以很好地反映出来。因此,考虑到系统的实际情况,选择springboot框架作为系统开发技术。通过以上分析,系统的设计和实现在软件中是可行的。
因此,我们从两个方面进行了可行性研究,可以看出系统的开发没有问题。
3.3 系统功能分析和描述
使用跨境电商系统的分为管理员和用户、两个权限模块。
管理员所能使用的功能主要有:首页、站点管理(轮播图、公告栏)用户管理(管理员、会员用户)内容管理(热卖资讯、资讯分类列表)商城管理(商品管理、分类列表、订单列表)等。
用户可以实现首页、公告消息、热卖资讯、购物车、我的(个人资料、密码修改、收货地址、收藏、订单)
3.4系统UML用例分析 3.4.1管理员用例
管理员登录后可进行首页、站点管理(轮播图、公告栏)用户管理(管理员、会员用户)内容管理(热卖资讯、资讯分类列表)商城管理(商品管理、分类列表、订单列表),管理员的用例如图3-1所示。
![图片[1]-spring boot跨境电商系统毕业设计源码211003-JieYingAI捷鹰AI](https://www.jieyingai.com/wp-content/uploads/2025/01/1736356388369_0.png)
图3-1 管理员用例图
3.4.2用户用例
用户注册登录后可进行首页、公告消息、热卖资讯、购物车我的(个人资料、密码修改、收货地址、收藏、订单)管理,用户用例如图3-2所示。
![图片[2]-spring boot跨境电商系统毕业设计源码211003-JieYingAI捷鹰AI](https://www.jieyingai.com/wp-content/uploads/2025/01/1736356388369_1.png)
图3-2 用户用例图
3.5系统流程分析 3.5.1添加信息流程
添加信息,编号系统使用自动编号模式,没有用户填写,用户添加信息输入信息,系统将自动确认的信息和数据,验证的成功是有效的信息添加到数据库,信息无效,重新输入信息。添加信息流程如图3-3所示。
![图片[3]-spring boot跨境电商系统毕业设计源码211003-JieYingAI捷鹰AI](https://www.jieyingai.com/wp-content/uploads/2025/01/1736356388369_2.png)
图3-3 添加信息流程图
3.5.2操作流程
用户想进入系统,首先进入系统登录界面,通过正确的用户名、密码,选择登录类型登录,系统会检查登录信息,信息正确,然后输入相应的功能界面,提示信息错误,登录失败。系统操作流程如图3-4所示。
![图片[4]-spring boot跨境电商系统毕业设计源码211003-JieYingAI捷鹰AI](https://www.jieyingai.com/wp-content/uploads/2025/01/1736356388369_3.png)
图3-4操作流程图
3.5.3删除信息流程
用户选择要删除的信息并单击Delete按钮。系统提示是否删除信息。如果用户想要删除信息,系统将删除信息。系统数据库删除信息。删除信息流程图如图3-5所示。
![图片[5]-spring boot跨境电商系统毕业设计源码211003-JieYingAI捷鹰AI](https://www.jieyingai.com/wp-content/uploads/2025/01/1736356388369_4.png)
图3-5 删除信息流程图
第四章系统设计
4.1 系统体系结构
跨境电商系统的结构图4-1所示:
![图片[6]-spring boot跨境电商系统毕业设计源码211003-JieYingAI捷鹰AI](https://www.jieyingai.com/wp-content/uploads/2025/01/1736356388369_5.png)
图4-1 系统结构
模块包括主界面,首页、个人中心、新闻分类管理、订单信息管理、用户管理、农产品推荐管理、管理员管理、系统管理、订单管理等进行相应的操作。
登录系统结构图,如图4-2所示:
![图片[7]-spring boot跨境电商系统毕业设计源码211003-JieYingAI捷鹰AI](https://www.jieyingai.com/wp-content/uploads/2025/01/1736356388369_6.png)
图4-2 登录结构图
这些功能可以充分满足跨境电商系统的需求。此系统功能较为全面如下图系统功能结构如图4-3所示。
![图片[8]-spring boot跨境电商系统毕业设计源码211003-JieYingAI捷鹰AI](https://www.jieyingai.com/wp-content/uploads/2025/01/1736356388369_7.png)
图4-3系统功能结构图
4.2 数据库设计原则
每个数据库的应用它们都是和区分开的,当运行到一定的程序当中,它就会与自己相关的协议与客户端进行通讯。那么这个系统就会对使这些数据进行连接。当我们选择哪个桥段的时候,接下来就会简单的叙述这个数据库是如何来创建的。当点击完成按钮的时候就会自动在对话框内弹出数据源的名称,在进行点击下一步即可,直接在输入相对应的身份验证和登录密码。
跨境电商系统的数据流程:
![图片[9]-spring boot跨境电商系统毕业设计源码211003-JieYingAI捷鹰AI](https://www.jieyingai.com/wp-content/uploads/2025/01/1736356388369_8.png)
图4-4 系统数据流程图
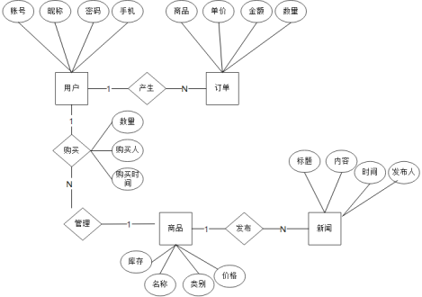
系统实体E-R图,如图4-5所示。
![图片[10]-spring boot跨境电商系统毕业设计源码211003-JieYingAI捷鹰AI](https://www.jieyingai.com/wp-content/uploads/2025/01/1736356388369_9.png)
图4.5系统实体E-R图
商品分类实体图,如图4-6所示。
![图片[11]-spring boot跨境电商系统毕业设计源码211003-JieYingAI捷鹰AI](https://www.jieyingai.com/wp-content/uploads/2025/01/1736356388369_10.png)
图4-6商品分类实体图
购物车实体图,如图4-7所示。
![图片[12]-spring boot跨境电商系统毕业设计源码211003-JieYingAI捷鹰AI](https://www.jieyingai.com/wp-content/uploads/2025/01/1736356388369_11.png)
图4-7购物车实体图
订单信息实体图,如图4-8所示。
![图片[13]-spring boot跨境电商系统毕业设计源码211003-JieYingAI捷鹰AI](https://www.jieyingai.com/wp-content/uploads/2025/01/1736356388369_12.png)
图4-8订单信息实体图
用户信息实体图,如图4-9所示。
![图片[14]-spring boot跨境电商系统毕业设计源码211003-JieYingAI捷鹰AI](https://www.jieyingai.com/wp-content/uploads/2025/01/1736356388369_13.png)
图4-9用户信息实体图
管理员信息实体图,如图4-10所示。
![图片[15]-spring boot跨境电商系统毕业设计源码211003-JieYingAI捷鹰AI](https://www.jieyingai.com/wp-content/uploads/2025/01/1736356388369_14.png)
图4-10管理员信息实体图
系统活动图如图4-11所示
![图片[16]-spring boot跨境电商系统毕业设计源码211003-JieYingAI捷鹰AI](https://www.jieyingai.com/wp-content/uploads/2025/01/1736356388369_15.png)
图4-11系统活动图
4.4 数据表
将数据库概念设计的E-R图转换为关系数据库。在关系数据库中,数据关系由数据表组成,但是表的结构表现在表的字段上。
collect
字段名称
类型
长度
不是null
主键
字段说明
collect_id
int
10
否
主键










